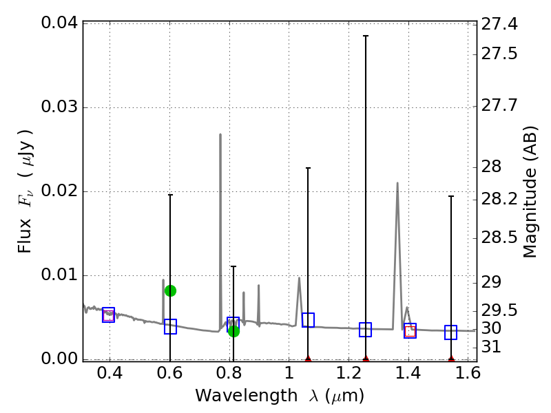
RXS0603+42-N IR detection object #7471

Color images and BPZ results
Catalog: 7471.cat
Black segments are analyzed here.   Roll mouse over color images to view segments.
Best viewed in a wide browser window (1200 pixels or more).   Download SED & P(z) plots to view larger versions.
In P(z) plots: Yellow lines mark the cluster redshift z = 0.228,  

Object #7471   x,y = (1842, 1086)   RA, Dec = (06:03:17.712, 42:14:22.92) = (90.82380, 42.23970)   BPZ = 1.068 [0.303--8.224]   type = 11.00 (SB11_A_0_l)   stellarity = 0.92   chisq2 = 900.00   ODDS = 0.05   z_cluster = 0.228