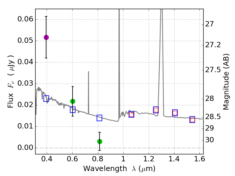
RXS0603+42-N IR detection object #7462

Color images and BPZ results
Catalog: 7462.cat
Black segments are analyzed here.   Roll mouse over color images to view segments.
Best viewed in a wide browser window (1200 pixels or more).   Download SED & P(z) plots to view larger versions.
In P(z) plots: Yellow lines mark the cluster redshift z = 0.228,  

Object #7462   x,y = (2961, 1095)   RA, Dec = (06:03:11.664, 42:14:23.28) = (90.79860, 42.23980)   BPZ = 1.596 [1.015--2.502]   type = 11.00 (SB11_A_0_l)   stellarity = 0.35   chisq2 = 14.54   ODDS = 0.23   z_cluster = 0.228