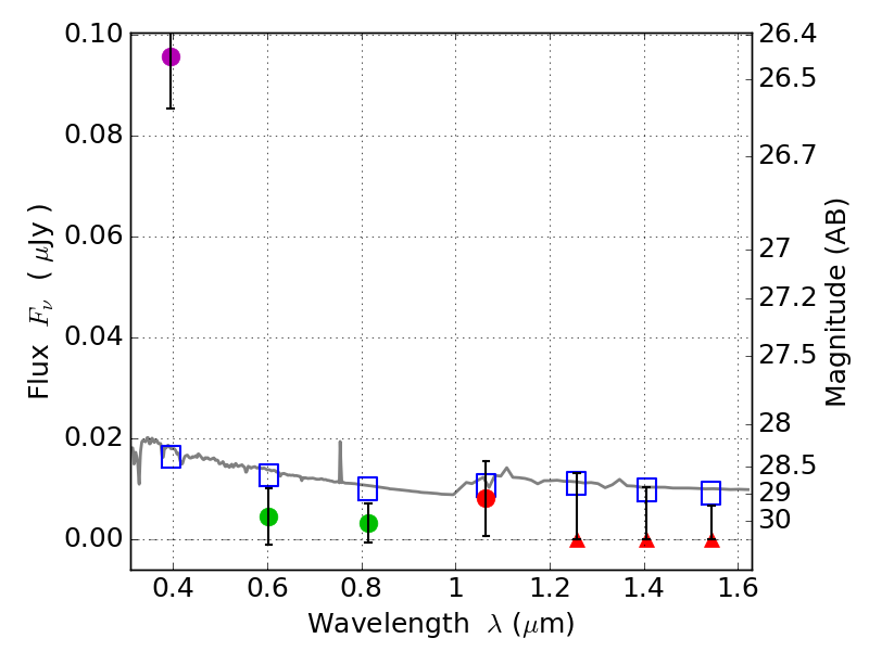
RXS0603+42-N IR detection object #7460

Color images and BPZ results
Catalog: 7460.cat
Black segments are analyzed here.   Roll mouse over color images to view segments.
Best viewed in a wide browser window (1200 pixels or more).   Download SED & P(z) plots to view larger versions.
In P(z) plots: Yellow lines mark the cluster redshift z = 0.228,  

Object #7460   x,y = (2101, 1096)   RA, Dec = (06:03:16.296, 42:14:23.28) = (90.81790, 42.23980)   BPZ = 1.703 [0.686--2.463]   type = 11.00 (SB11_A_0_l)   stellarity = 0.57   chisq2 = 16.71   ODDS = 0.33   z_cluster = 0.228