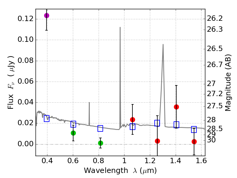
RXS0603+42-N IR detection object #7431

Color images and BPZ results
Catalog: 7431.cat
Black segments are analyzed here.   Roll mouse over color images to view segments.
Best viewed in a wide browser window (1200 pixels or more).   Download SED & P(z) plots to view larger versions.
In P(z) plots: Yellow lines mark the cluster redshift z = 0.228,  

Object #7431   x,y = (2624, 1105)   RA, Dec = (06:03:13.488, 42:14:24.00) = (90.80620, 42.24000)   BPZ = 1.599 [0.963--2.372]   type = 11.00 (SB11_A_0_l)   stellarity = 0.41   chisq2 = 14.40   ODDS = 0.29   z_cluster = 0.228