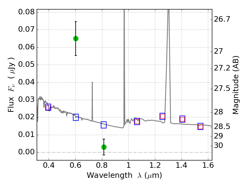
RXS0603+42-N IR detection object #7399

Color images and BPZ results
Catalog: 7399.cat
Black segments are analyzed here.   Roll mouse over color images to view segments.
Best viewed in a wide browser window (1200 pixels or more).   Download SED & P(z) plots to view larger versions.
In P(z) plots: Yellow lines mark the cluster redshift z = 0.228,  

Object #7399   x,y = (1599, 1117)   RA, Dec = (06:03:19.008, 42:14:24.72) = (90.82920, 42.24020)   BPZ = 1.597 [0.358--3.525]   type = 11.00 (SB11_A_0_l)   stellarity = 0.74   chisq2 = 27.74   ODDS = 0.12   z_cluster = 0.228