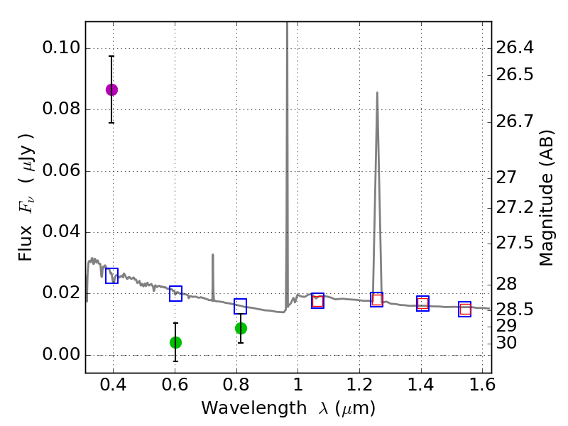
RXS0603+42-N IR detection object #7385

Color images and BPZ results
Catalog: 7385.cat
Black segments are analyzed here.   Roll mouse over color images to view segments.
Best viewed in a wide browser window (1200 pixels or more).   Download SED & P(z) plots to view larger versions.
In P(z) plots: Yellow lines mark the cluster redshift z = 0.228,  

Object #7385   x,y = (3256, 1123)   RA, Dec = (06:03:10.056, 42:14:25.08) = (90.79190, 42.24030)   BPZ = 1.594 [0.875--2.284]   type = 11.00 (SB11_A_0_l)   stellarity = 0.46   chisq2 = 38.11   ODDS = 0.24   z_cluster = 0.228