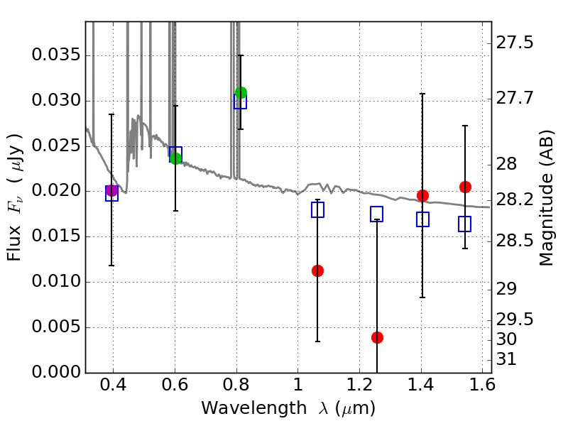
RXS0603+42-N IR detection object #7382

Color images and BPZ results
Catalog: 7382.cat
Black segments are analyzed here.   Roll mouse over color images to view segments.
Best viewed in a wide browser window (1200 pixels or more).   Download SED & P(z) plots to view larger versions.
In P(z) plots: Yellow lines mark the cluster redshift z = 0.228,  

Object #7382   x,y = (2818, 1125)   RA, Dec = (06:03:12.432, 42:14:25.08) = (90.80180, 42.24030)   BPZ = 0.198 [0.093--3.398]   type = 11.00 (SB11_A_0_l)   stellarity = 0.35   chisq2 = 0.55   ODDS = 0.19   z_cluster = 0.228