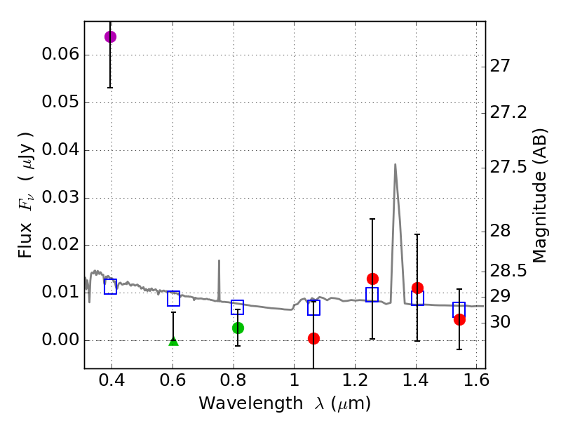
RXS0603+42-N IR detection object #7358

Color images and BPZ results
Catalog: 7358.cat
Black segments are analyzed here.   Roll mouse over color images to view segments.
Best viewed in a wide browser window (1200 pixels or more).   Download SED & P(z) plots to view larger versions.
In P(z) plots: Yellow lines mark the cluster redshift z = 0.228,  

Object #7358   x,y = (2408, 1132)   RA, Dec = (06:03:14.640, 42:14:25.44) = (90.81100, 42.24040)   BPZ = 1.694 [0.397--5.859]   type = 11.00 (SB11_A_0_l)   stellarity = 0.43   chisq2 = 6.91   ODDS = 0.14   z_cluster = 0.228