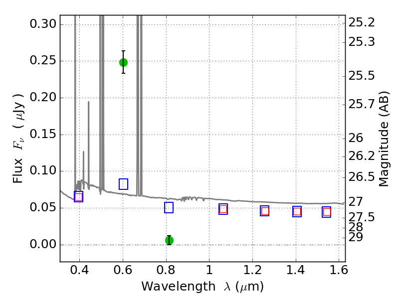
RXS0603+42-N IR detection object #7204

Color images and BPZ results
Catalog: 7204.cat
Black segments are analyzed here.   Roll mouse over color images to view segments.
Best viewed in a wide browser window (1200 pixels or more).   Download SED & P(z) plots to view larger versions.
In P(z) plots: Yellow lines mark the cluster redshift z = 0.228,  

Object #7204   x,y = (1331, 1181)   RA, Dec = (06:03:20.472, 42:14:28.68) = (90.83530, 42.24130)   BPZ = 0.020 [0.010--0.044]   type = 11.00 (SB11_A_0_l)   stellarity = 0.99   chisq2 = 133.00   ODDS = 1.00   z_cluster = 0.228