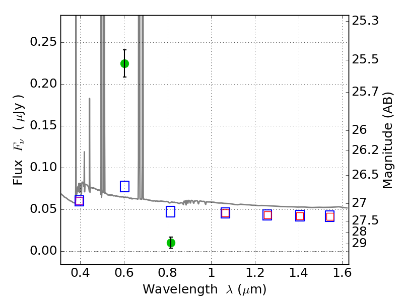
RXS0603+42-N IR detection object #7169

Color images and BPZ results
Catalog: 7169.cat
Black segments are analyzed here.   Roll mouse over color images to view segments.
Best viewed in a wide browser window (1200 pixels or more).   Download SED & P(z) plots to view larger versions.
In P(z) plots: Yellow lines mark the cluster redshift z = 0.228,  

Object #7169   x,y = (1335, 1194)   RA, Dec = (06:03:20.448, 42:14:29.40) = (90.83520, 42.24150)   BPZ = 0.021 [0.010--1.894]   type = 11.00 (SB11_A_0_l)   stellarity = 0.98   chisq2 = 94.79   ODDS = 0.95   z_cluster = 0.228