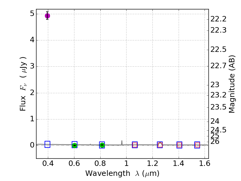
RXS0603+42-N IR detection object #7164

Color images and BPZ results
Catalog: 7164.cat
Black segments are analyzed here.   Roll mouse over color images to view segments.
Best viewed in a wide browser window (1200 pixels or more).   Download SED & P(z) plots to view larger versions.
In P(z) plots: Yellow lines mark the cluster redshift z = 0.228,  

Object #7164   x,y = (1601, 1194)   RA, Dec = (06:03:19.008, 42:14:29.40) = (90.82920, 42.24150)   BPZ = 1.592 [0.535--2.579]   type = 11.00 (SB11_A_0_l)   stellarity = 0.93   chisq2 = 1113.00   ODDS = 0.17   z_cluster = 0.228