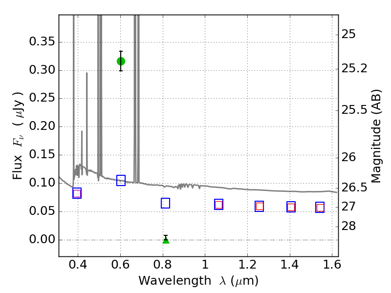
RXS0603+42-N IR detection object #7155

Color images and BPZ results
Catalog: 7155.cat
Black segments are analyzed here.   Roll mouse over color images to view segments.
Best viewed in a wide browser window (1200 pixels or more).   Download SED & P(z) plots to view larger versions.
In P(z) plots: Yellow lines mark the cluster redshift z = 0.228,  

Object #7155   x,y = (1314, 1196)   RA, Dec = (06:03:20.568, 42:14:29.40) = (90.83570, 42.24150)   BPZ = 0.019 [0.010--0.041]   type = 11.00 (SB11_A_0_l)   stellarity = 0.98   chisq2 = 166.60   ODDS = 1.00   z_cluster = 0.228