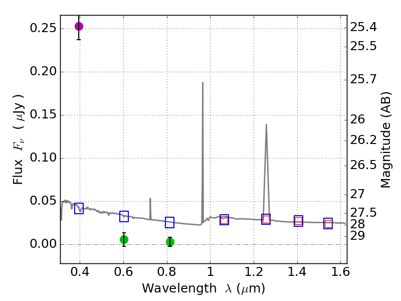
RXS0603+42-N IR detection object #7140

Color images and BPZ results
Catalog: 7140.cat
Black segments are analyzed here.   Roll mouse over color images to view segments.
Best viewed in a wide browser window (1200 pixels or more).   Download SED & P(z) plots to view larger versions.
In P(z) plots: Yellow lines mark the cluster redshift z = 0.228,  

Object #7140   x,y = (3448, 1198)   RA, Dec = (06:03:09.024, 42:14:29.40) = (90.78760, 42.24150)   BPZ = 1.594 [1.277--2.017]   type = 11.00 (SB11_A_0_l)   stellarity = 0.79   chisq2 = 197.60   ODDS = 0.43   z_cluster = 0.228