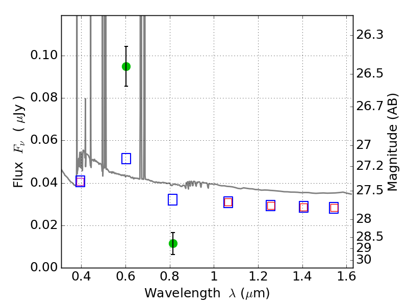
RXS0603+42-N IR detection object #7125

Color images and BPZ results
Catalog: 7125.cat
Black segments are analyzed here.   Roll mouse over color images to view segments.
Best viewed in a wide browser window (1200 pixels or more).   Download SED & P(z) plots to view larger versions.
In P(z) plots: Yellow lines mark the cluster redshift z = 0.228,  

Object #7125   x,y = (1385, 1207)   RA, Dec = (06:03:20.184, 42:14:30.12) = (90.83410, 42.24170)   BPZ = 0.024 [0.012--2.911]   type = 11.00 (SB11_A_0_l)   stellarity = 0.65   chisq2 = 29.90   ODDS = 0.39   z_cluster = 0.228