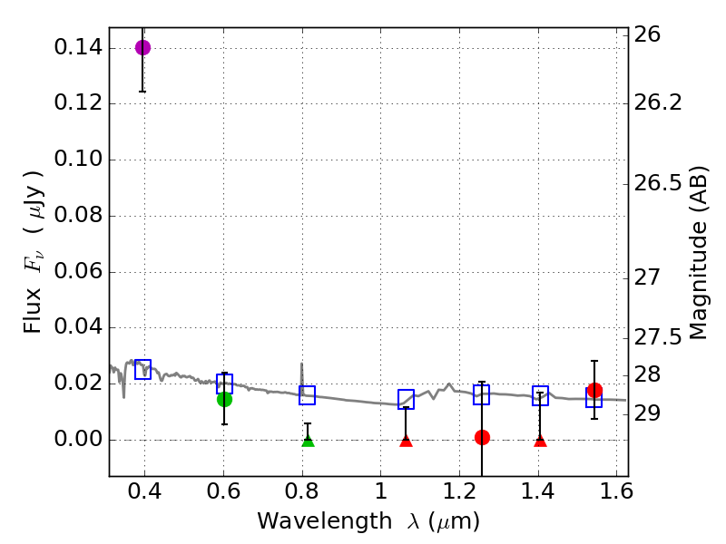
RXS0603+42-N IR detection object #7075

Color images and BPZ results
Catalog: 7075.cat
Black segments are analyzed here.   Roll mouse over color images to view segments.
Best viewed in a wide browser window (1200 pixels or more).   Download SED & P(z) plots to view larger versions.
In P(z) plots: Yellow lines mark the cluster redshift z = 0.228,  

Object #7075   x,y = (2194, 1216)   RA, Dec = (06:03:15.816, 42:14:30.48) = (90.81590, 42.24180)   BPZ = 1.858 [0.913--2.483]   type = 11.00 (SB11_A_0_l)   stellarity = 0.35   chisq2 = 15.14   ODDS = 0.26   z_cluster = 0.228