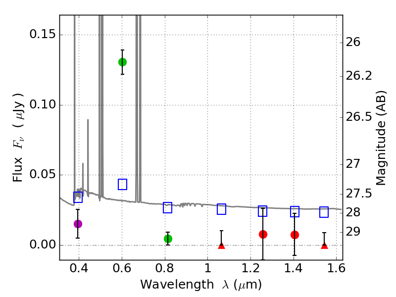
RXS0603+42-N IR detection object #7017

Color images and BPZ results
Catalog: 7017.cat
Black segments are analyzed here.   Roll mouse over color images to view segments.
Best viewed in a wide browser window (1200 pixels or more).   Download SED & P(z) plots to view larger versions.
In P(z) plots: Yellow lines mark the cluster redshift z = 0.228,  

Object #7017   x,y = (3970, 1526)   RA, Dec = (06:03:06.216, 42:14:49.20) = (90.77590, 42.24700)   BPZ = 0.022 [0.010--0.052]   type = 11.00 (SB11_A_0_l)   stellarity = 0.50   chisq2 = 31.58   ODDS = 0.99   z_cluster = 0.228