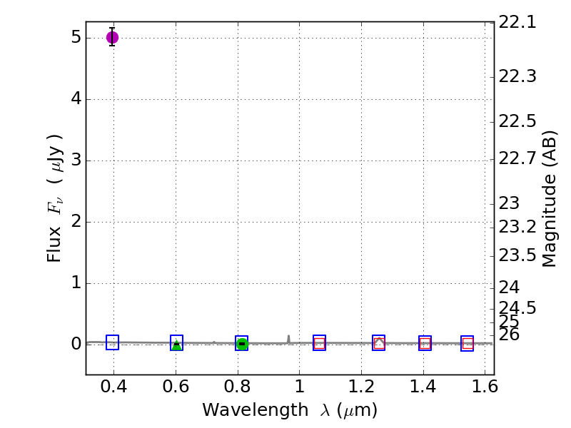
RXS0603+42-N IR detection object #7011

Color images and BPZ results
Catalog: 7011.cat
Black segments are analyzed here.   Roll mouse over color images to view segments.
Best viewed in a wide browser window (1200 pixels or more).   Download SED & P(z) plots to view larger versions.
In P(z) plots: Yellow lines mark the cluster redshift z = 0.228,  

Object #7011   x,y = (1511, 1232)   RA, Dec = (06:03:19.488, 42:14:31.56) = (90.83120, 42.24210)   BPZ = 1.593 [0.425--4.557]   type = 11.00 (SB11_A_0_l)   stellarity = 0.93   chisq2 = 1112.00   ODDS = 0.14   z_cluster = 0.228