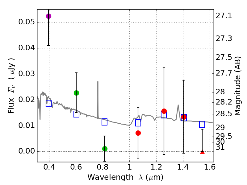
RXS0603+42-N IR detection object #7001

Color images and BPZ results
Catalog: 7001.cat
Black segments are analyzed here.   Roll mouse over color images to view segments.
Best viewed in a wide browser window (1200 pixels or more).   Download SED & P(z) plots to view larger versions.
In P(z) plots: Yellow lines mark the cluster redshift z = 0.228,  

Object #7001   x,y = (2117, 1236)   RA, Dec = (06:03:16.224, 42:14:31.92) = (90.81760, 42.24220)   BPZ = 1.727 [0.487--3.007]   type = 11.00 (SB11_A_0_l)   stellarity = 0.36   chisq2 = 3.88   ODDS = 0.24   z_cluster = 0.228