RXS0603+42-N IR detection object #6984

Color images and BPZ results
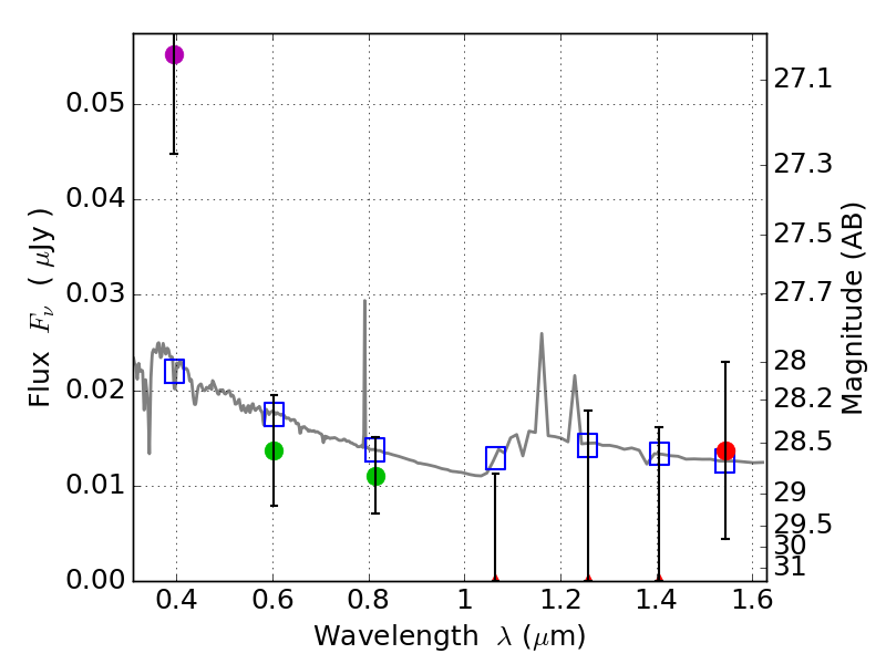
Catalog: 6984.cat
Black segments are analyzed here.   Roll mouse over color images to view segments.
Best viewed in a wide browser window (1200 pixels or more).   Download SED & P(z) plots to view larger versions.
In P(z) plots: Yellow lines mark the cluster redshift z = 0.228,  

Object #6984   x,y = (1828, 1243)   RA, Dec = (06:03:17.784, 42:14:32.28) = (90.82410, 42.24230)   BPZ = 1.827 [0.561--2.641]   type = 11.00 (SB11_A_0_l)   stellarity = 0.35   chisq2 = 3.34   ODDS = 0.21   z_cluster = 0.228