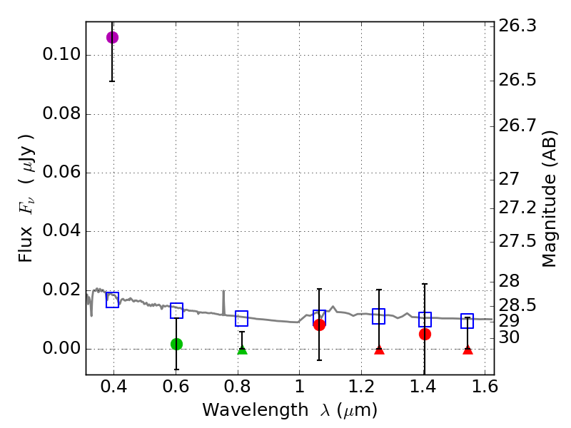
RXS0603+42-N IR detection object #6956

Color images and BPZ results
Catalog: 6956.cat
Black segments are analyzed here.   Roll mouse over color images to view segments.
Best viewed in a wide browser window (1200 pixels or more).   Download SED & P(z) plots to view larger versions.
In P(z) plots: Yellow lines mark the cluster redshift z = 0.228,  

Object #6956   x,y = (2096, 1530)   RA, Dec = (06:03:16.344, 42:14:49.56) = (90.81810, 42.24710)   BPZ = 1.702 [0.408--6.447]   type = 11.00 (SB11_A_0_l)   stellarity = 0.37   chisq2 = 10.07   ODDS = 0.16   z_cluster = 0.228