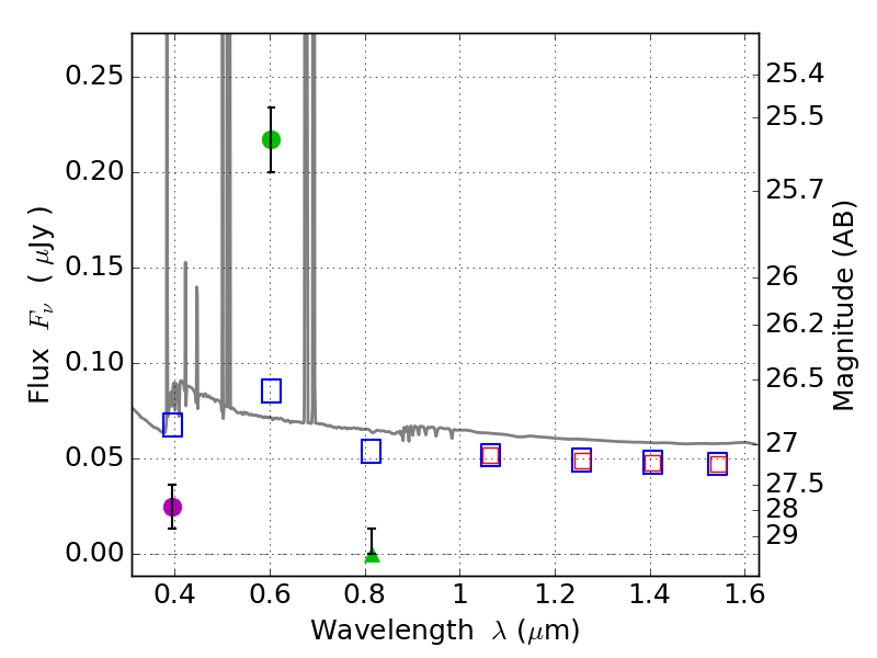
RXS0603+42-N IR detection object #6950

Color images and BPZ results
Catalog: 6950.cat
Black segments are analyzed here.   Roll mouse over color images to view segments.
Best viewed in a wide browser window (1200 pixels or more).   Download SED & P(z) plots to view larger versions.
In P(z) plots: Yellow lines mark the cluster redshift z = 0.228,  

Object #6950   x,y = (3955, 1244)   RA, Dec = (06:03:06.288, 42:14:32.28) = (90.77620, 42.24230)   BPZ = 0.028 [0.019--3.302]   type = 11.00 (SB11_A_0_l)   stellarity = 0.69   chisq2 = 79.59   ODDS = 0.13   z_cluster = 0.228