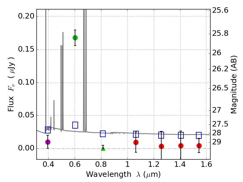
RXS0603+42-N IR detection object #6915

Color images and BPZ results
Catalog: 6915.cat
Black segments are analyzed here.   Roll mouse over color images to view segments.
Best viewed in a wide browser window (1200 pixels or more).   Download SED & P(z) plots to view larger versions.
In P(z) plots: Yellow lines mark the cluster redshift z = 0.228,  

Object #6915   x,y = (4040, 1527)   RA, Dec = (06:03:05.832, 42:14:49.20) = (90.77430, 42.24700)   BPZ = 0.024 [0.010--2.929]   type = 11.00 (SB11_A_0_l)   stellarity = 0.53   chisq2 = 35.99   ODDS = 0.85   z_cluster = 0.228