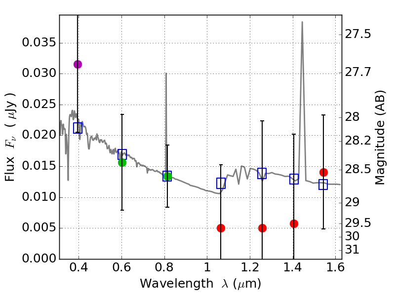
RXS0603+42-N IR detection object #6901

Color images and BPZ results
Catalog: 6901.cat
Black segments are analyzed here.   Roll mouse over color images to view segments.
Best viewed in a wide browser window (1200 pixels or more).   Download SED & P(z) plots to view larger versions.
In P(z) plots: Yellow lines mark the cluster redshift z = 0.228,  

Object #6901   x,y = (2115, 1266)   RA, Dec = (06:03:16.224, 42:14:33.72) = (90.81760, 42.24270)   BPZ = 1.894 [0.235--3.376]   type = 11.00 (SB11_A_0_l)   stellarity = 0.04   chisq2 = 0.48   ODDS = 0.12   z_cluster = 0.228