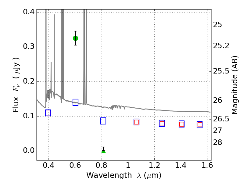
RXS0603+42-N IR detection object #6897

Color images and BPZ results
Catalog: 6897.cat
Black segments are analyzed here.   Roll mouse over color images to view segments.
Best viewed in a wide browser window (1200 pixels or more).   Download SED & P(z) plots to view larger versions.
In P(z) plots: Yellow lines mark the cluster redshift z = 0.228,  

Object #6897   x,y = (1192, 1266)   RA, Dec = (06:03:21.216, 42:14:33.72) = (90.83840, 42.24270)   BPZ = 0.019 [0.010--0.042]   type = 11.00 (SB11_A_0_l)   stellarity = 0.98   chisq2 = 105.30   ODDS = 1.00   z_cluster = 0.228