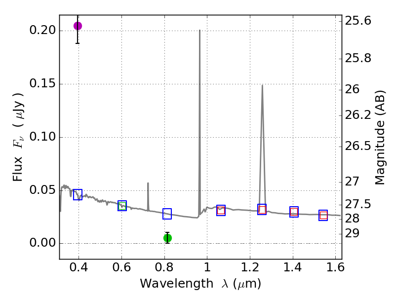
RXS0603+42-N IR detection object #688

Color images and BPZ results
Catalog: 688.cat
Black segments are analyzed here.   Roll mouse over color images to view segments.
Best viewed in a wide browser window (1200 pixels or more).   Download SED & P(z) plots to view larger versions.
In P(z) plots: Yellow lines mark the cluster redshift z = 0.228,  

Object #688   x,y = (3202, 3481)   RA, Dec = (06:03:10.344, 42:16:46.56) = (90.79310, 42.27960)   BPZ = 1.594 [1.315--2.082]   type = 11.00 (SB11_A_0_l)   stellarity = 0.78   chisq2 = 102.80   ODDS = 0.41   z_cluster = 0.228