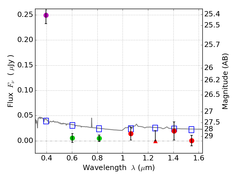
RXS0603+42-N IR detection object #6844

Color images and BPZ results
Catalog: 6844.cat
Black segments are analyzed here.   Roll mouse over color images to view segments.
Best viewed in a wide browser window (1200 pixels or more).   Download SED & P(z) plots to view larger versions.
In P(z) plots: Yellow lines mark the cluster redshift z = 0.228,  

Object #6844   x,y = (3829, 1541)   RA, Dec = (06:03:06.960, 42:14:50.28) = (90.77900, 42.24730)   BPZ = 1.700 [1.286--2.107]   type = 11.00 (SB11_A_0_l)   stellarity = 0.67   chisq2 = 43.52   ODDS = 0.57   z_cluster = 0.228