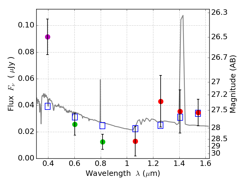
RXS0603+42-N IR detection object #6765

Color images and BPZ results
Catalog: 6765.cat
Black segments are analyzed here.   Roll mouse over color images to view segments.
Best viewed in a wide browser window (1200 pixels or more).   Download SED & P(z) plots to view larger versions.
In P(z) plots: Yellow lines mark the cluster redshift z = 0.228,  

Object #6765   x,y = (3041, 1283)   RA, Dec = (06:03:11.232, 42:14:34.80) = (90.79680, 42.24300)   BPZ = 1.853 [1.171--2.310]   type = 11.00 (SB11_A_0_l)   stellarity = 0.37   chisq2 = 5.14   ODDS = 0.30   z_cluster = 0.228