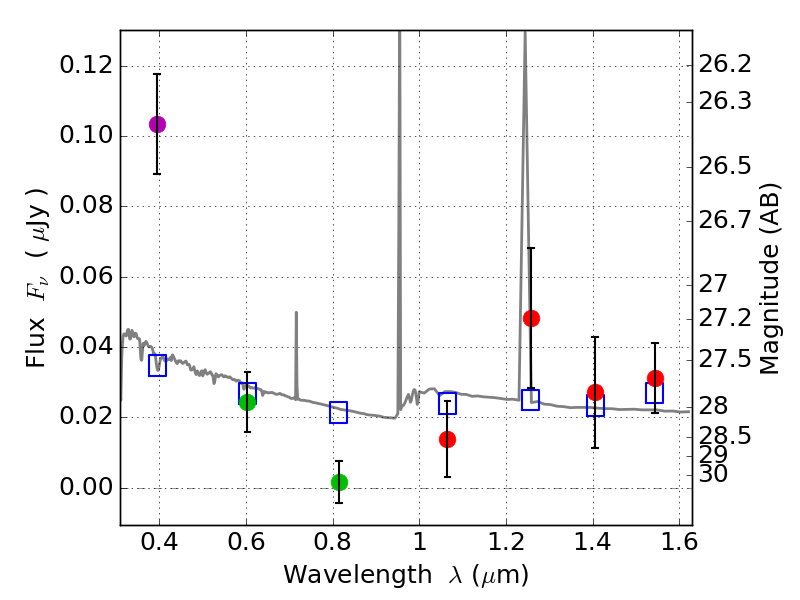
RXS0603+42-N IR detection object #6750

Color images and BPZ results
Catalog: 6750.cat
Black segments are analyzed here.   Roll mouse over color images to view segments.
Best viewed in a wide browser window (1200 pixels or more).   Download SED & P(z) plots to view larger versions.
In P(z) plots: Yellow lines mark the cluster redshift z = 0.228,  

Object #6750   x,y = (3261, 1304)   RA, Dec = (06:03:10.032, 42:14:35.88) = (90.79180, 42.24330)   BPZ = 1.565 [1.201--2.301]   type = 11.00 (SB11_A_0_l)   stellarity = 0.48   chisq2 = 8.63   ODDS = 0.26   z_cluster = 0.228