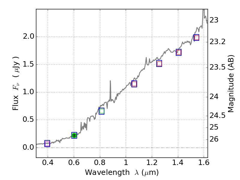
RXS0603+42-N IR detection object #6744

Color images and BPZ results
Catalog: 6744.cat
Black segments are analyzed here.   Roll mouse over color images to view segments.
Best viewed in a wide browser window (1200 pixels or more).   Download SED & P(z) plots to view larger versions.
In P(z) plots: Yellow lines mark the cluster redshift z = 0.228,  

Object #6744   x,y = (1038, 1301)   RA, Dec = (06:03:22.056, 42:14:35.88) = (90.84190, 42.24330)   BPZ = 0.759 [0.193--4.716]   type = 6.20 (Sbc_B10 - Scd_B10)   stellarity = 0.99   chisq2 = 990.00   ODDS = 0.08   z_cluster = 0.228