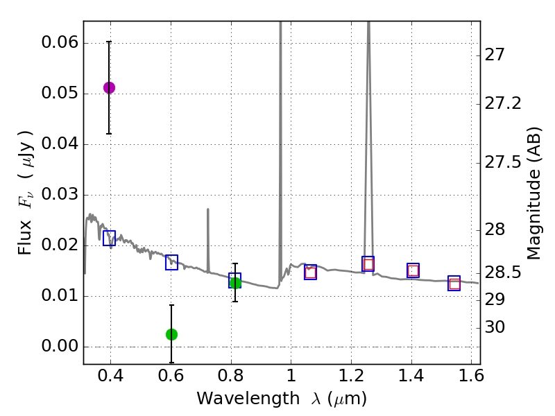
RXS0603+42-N IR detection object #6738

Color images and BPZ results
Catalog: 6738.cat
Black segments are analyzed here.   Roll mouse over color images to view segments.
Best viewed in a wide browser window (1200 pixels or more).   Download SED & P(z) plots to view larger versions.
In P(z) plots: Yellow lines mark the cluster redshift z = 0.228,  

Object #6738   x,y = (1331, 1536)   RA, Dec = (06:03:20.472, 42:14:49.92) = (90.83530, 42.24720)   BPZ = 1.590 [0.571--2.441]   type = 11.00 (SB11_A_0_l)   stellarity = 0.37   chisq2 = 16.21   ODDS = 0.16   z_cluster = 0.228