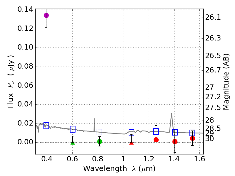
RXS0603+42-N IR detection object #6705

Color images and BPZ results
Catalog: 6705.cat
Black segments are analyzed here.   Roll mouse over color images to view segments.
Best viewed in a wide browser window (1200 pixels or more).   Download SED & P(z) plots to view larger versions.
In P(z) plots: Yellow lines mark the cluster redshift z = 0.228,  

Object #6705   x,y = (3270, 1318)   RA, Dec = (06:03:09.984, 42:14:36.60) = (90.79160, 42.24350)   BPZ = 1.763 [0.743--2.618]   type = 11.00 (SB11_A_0_l)   stellarity = 0.62   chisq2 = 23.63   ODDS = 0.27   z_cluster = 0.228