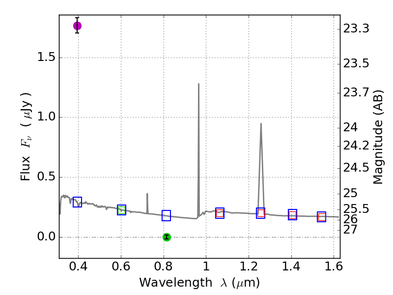
RXS0603+42-N IR detection object #6642

Color images and BPZ results
Catalog: 6642.cat
Black segments are analyzed here.   Roll mouse over color images to view segments.
Best viewed in a wide browser window (1200 pixels or more).   Download SED & P(z) plots to view larger versions.
In P(z) plots: Yellow lines mark the cluster redshift z = 0.228,  

Object #6642   x,y = (4171, 1337)   RA, Dec = (06:03:05.112, 42:14:38.04) = (90.77130, 42.24390)   BPZ = 1.593 [1.480--1.813]   type = 11.00 (SB11_A_0_l)   stellarity = 0.91   chisq2 = 545.90   ODDS = 0.77   z_cluster = 0.228