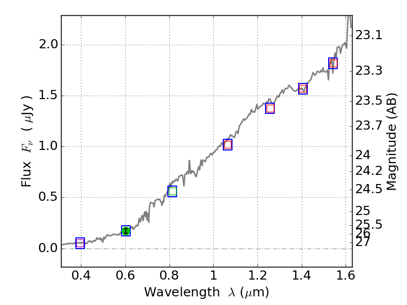
RXS0603+42-N IR detection object #6636

Color images and BPZ results
Catalog: 6636.cat
Black segments are analyzed here.   Roll mouse over color images to view segments.
Best viewed in a wide browser window (1200 pixels or more).   Download SED & P(z) plots to view larger versions.
In P(z) plots: Yellow lines mark the cluster redshift z = 0.228,  

Object #6636   x,y = (940, 1334)   RA, Dec = (06:03:22.584, 42:14:37.68) = (90.84410, 42.24380)   BPZ = 0.781 [0.201--4.970]   type = 6.00 (Sbc_B10)   stellarity = 0.00   chisq2 = 990.00   ODDS = 0.08   z_cluster = 0.228