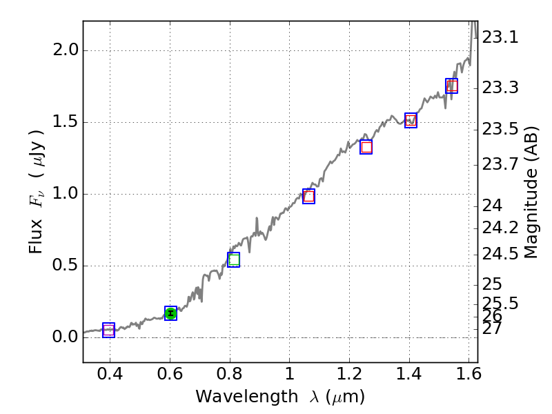
RXS0603+42-N IR detection object #6568

Color images and BPZ results
Catalog: 6568.cat
Black segments are analyzed here.   Roll mouse over color images to view segments.
Best viewed in a wide browser window (1200 pixels or more).   Download SED & P(z) plots to view larger versions.
In P(z) plots: Yellow lines mark the cluster redshift z = 0.228,  

Object #6568   x,y = (1004, 1357)   RA, Dec = (06:03:22.224, 42:14:39.12) = (90.84260, 42.24420)   BPZ = 0.781 [0.201--4.970]   type = 6.00 (Sbc_B10)   stellarity = 0.73   chisq2 = 990.00   ODDS = 0.08   z_cluster = 0.228