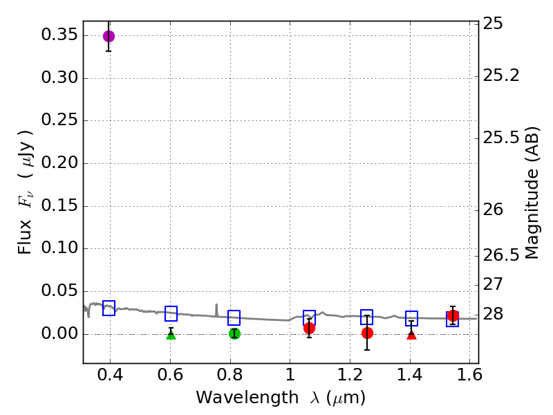
RXS0603+42-N IR detection object #6546

Color images and BPZ results
Catalog: 6546.cat
Black segments are analyzed here.   Roll mouse over color images to view segments.
Best viewed in a wide browser window (1200 pixels or more).   Download SED & P(z) plots to view larger versions.
In P(z) plots: Yellow lines mark the cluster redshift z = 0.228,  

Object #6546   x,y = (1926, 1364)   RA, Dec = (06:03:17.256, 42:14:39.48) = (90.82190, 42.24430)   BPZ = 1.701 [1.277--2.141]   type = 11.00 (SB11_A_0_l)   stellarity = 0.78   chisq2 = 85.25   ODDS = 0.41   z_cluster = 0.228