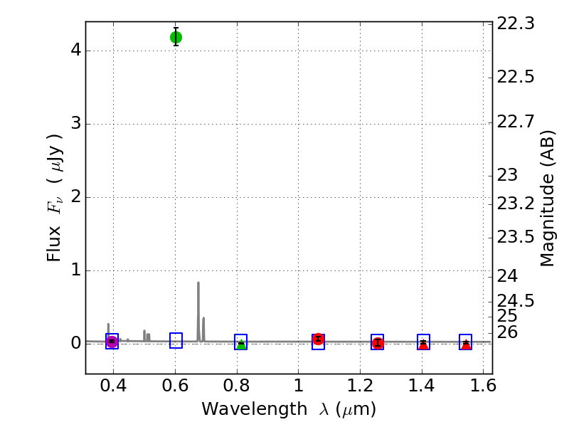
RXS0603+42-N IR detection object #6537

Color images and BPZ results
Catalog: 6537.cat
Black segments are analyzed here.   Roll mouse over color images to view segments.
Best viewed in a wide browser window (1200 pixels or more).   Download SED & P(z) plots to view larger versions.
In P(z) plots: Yellow lines mark the cluster redshift z = 0.228,  

Object #6537   x,y = (4057, 1438)   RA, Dec = (06:03:05.736, 42:14:43.80) = (90.77390, 42.24550)   BPZ = 0.033 [0.021--2.468]   type = 11.00 (SB11_A_0_l)   stellarity = 0.87   chisq2 = 283.00   ODDS = 0.13   z_cluster = 0.228