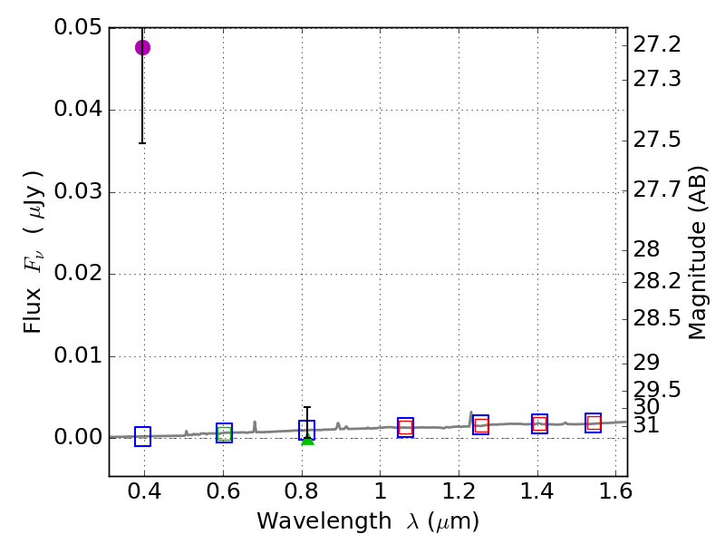
RXS0603+42-N IR detection object #6494

Color images and BPZ results
Catalog: 6494.cat
Black segments are analyzed here.   Roll mouse over color images to view segments.
Best viewed in a wide browser window (1200 pixels or more).   Download SED & P(z) plots to view larger versions.
In P(z) plots: Yellow lines mark the cluster redshift z = 0.228,  

Object #6494   x,y = (4126, 1381)   RA, Dec = (06:03:05.376, 42:14:40.56) = (90.77240, 42.24460)   BPZ = 0.357 [0.040--0.862]   type = 7.00 (Scd_B10)   stellarity = 0.37   chisq2 = 16.37   ODDS = 0.19   z_cluster = 0.228