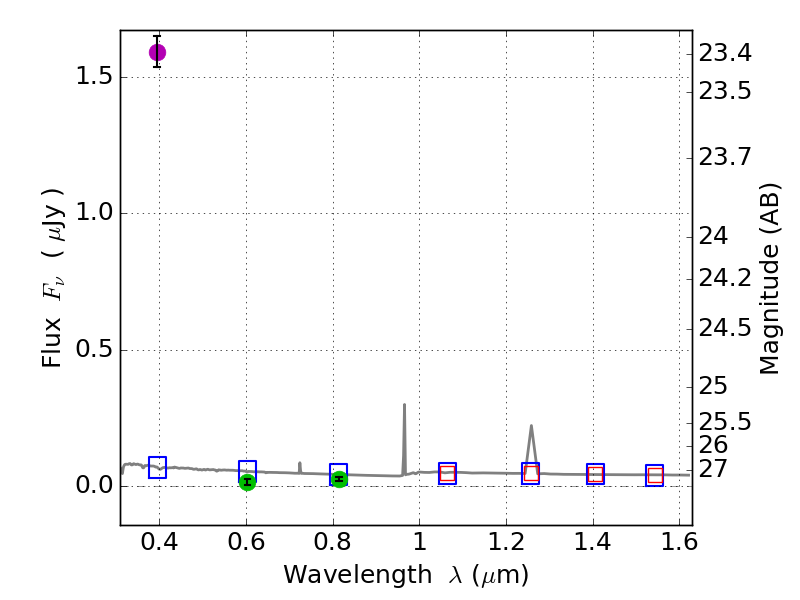
RXS0603+42-N IR detection object #648

Color images and BPZ results
Catalog: 648.cat
Black segments are analyzed here.   Roll mouse over color images to view segments.
Best viewed in a wide browser window (1200 pixels or more).   Download SED & P(z) plots to view larger versions.
In P(z) plots: Yellow lines mark the cluster redshift z = 0.228,  

Object #648   x,y = (2162, 3496)   RA, Dec = (06:03:15.984, 42:16:47.64) = (90.81660, 42.27990)   BPZ = 1.592 [1.173--2.031]   type = 11.00 (SB11_A_0_l)   stellarity = 1.00   chisq2 = 770.50   ODDS = 0.38   z_cluster = 0.228