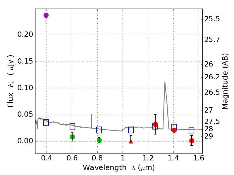
RXS0603+42-N IR detection object #6451

Color images and BPZ results
Catalog: 6451.cat
Black segments are analyzed here.   Roll mouse over color images to view segments.
Best viewed in a wide browser window (1200 pixels or more).   Download SED & P(z) plots to view larger versions.
In P(z) plots: Yellow lines mark the cluster redshift z = 0.228,  

Object #6451   x,y = (3775, 1399)   RA, Dec = (06:03:07.248, 42:14:41.64) = (90.78020, 42.24490)   BPZ = 1.695 [1.432--2.084]   type = 11.00 (SB11_A_0_l)   stellarity = 0.69   chisq2 = 51.36   ODDS = 0.61   z_cluster = 0.228