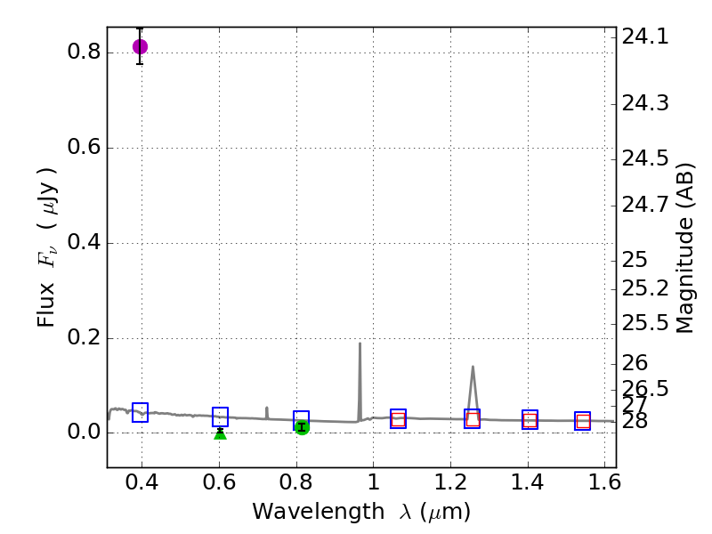
RXS0603+42-N IR detection object #6385

Color images and BPZ results
Catalog: 6385.cat
Black segments are analyzed here.   Roll mouse over color images to view segments.
Best viewed in a wide browser window (1200 pixels or more).   Download SED & P(z) plots to view larger versions.
In P(z) plots: Yellow lines mark the cluster redshift z = 0.228,  

Object #6385   x,y = (1156, 1462)   RA, Dec = (06:03:21.408, 42:14:45.24) = (90.83920, 42.24590)   BPZ = 1.593 [0.985--2.138]   type = 11.00 (SB11_A_0_l)   stellarity = 0.67   chisq2 = 440.00   ODDS = 0.29   z_cluster = 0.228