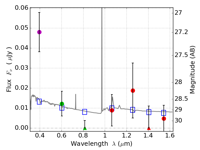
RXS0603+42-N IR detection object #6375

Color images and BPZ results
Catalog: 6375.cat
Black segments are analyzed here.   Roll mouse over color images to view segments.
Best viewed in a wide browser window (1200 pixels or more).   Download SED & P(z) plots to view larger versions.
In P(z) plots: Yellow lines mark the cluster redshift z = 0.228,  

Object #6375   x,y = (3678, 2508)   RA, Dec = (06:03:07.776, 42:15:48.24) = (90.78240, 42.26340)   BPZ = 1.613 [0.406--3.347]   type = 11.00 (SB11_A_0_l)   stellarity = 0.36   chisq2 = 4.54   ODDS = 0.18   z_cluster = 0.228