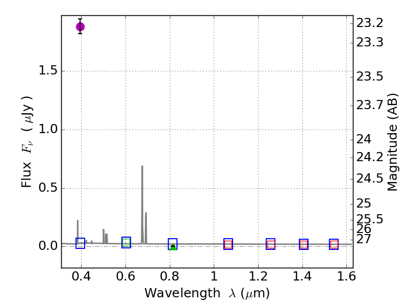
RXS0603+42-N IR detection object #636

Color images and BPZ results
Catalog: 636.cat
Black segments are analyzed here.   Roll mouse over color images to view segments.
Best viewed in a wide browser window (1200 pixels or more).   Download SED & P(z) plots to view larger versions.
In P(z) plots: Yellow lines mark the cluster redshift z = 0.228,  

Object #636   x,y = (3196, 3500)   RA, Dec = (06:03:10.392, 42:16:47.64) = (90.79330, 42.27990)   BPZ = 0.026 [0.012--0.783]   type = 11.00 (SB11_A_0_l)   stellarity = 0.85   chisq2 = 823.80   ODDS = 0.44   z_cluster = 0.228