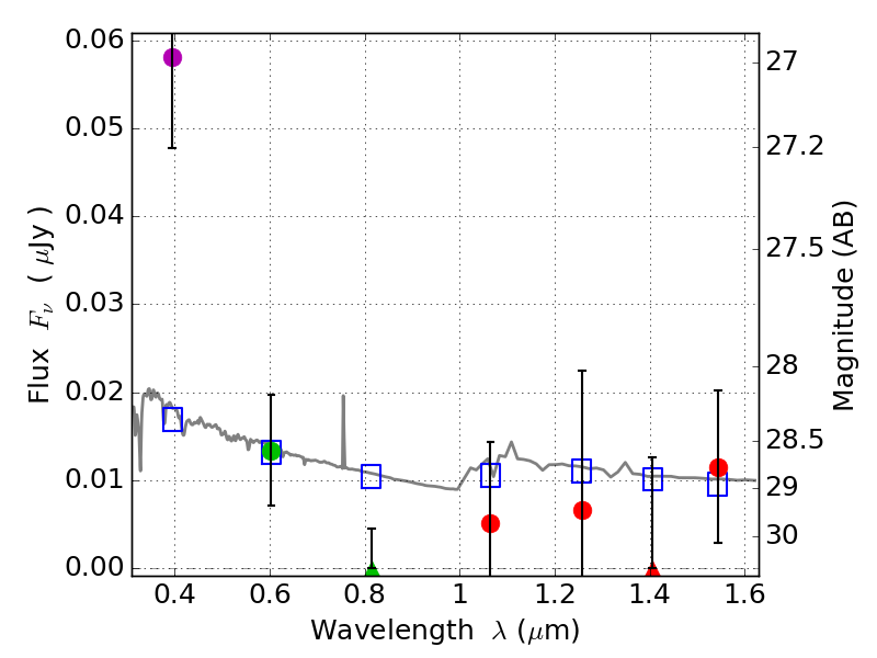
RXS0603+42-N IR detection object #6310

Color images and BPZ results
Catalog: 6310.cat
Black segments are analyzed here.   Roll mouse over color images to view segments.
Best viewed in a wide browser window (1200 pixels or more).   Download SED & P(z) plots to view larger versions.
In P(z) plots: Yellow lines mark the cluster redshift z = 0.228,  

Object #6310   x,y = (2862, 1450)   RA, Dec = (06:03:12.192, 42:14:44.88) = (90.80080, 42.24580)   BPZ = 1.701 [0.569--2.757]   type = 11.00 (SB11_A_0_l)   stellarity = 0.36   chisq2 = 5.44   ODDS = 0.20   z_cluster = 0.228