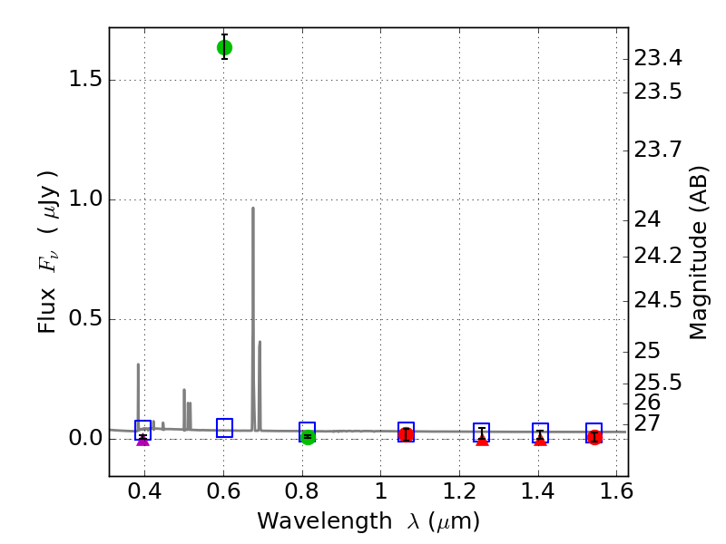
RXS0603+42-N IR detection object #6273

Color images and BPZ results
Catalog: 6273.cat
Black segments are analyzed here.   Roll mouse over color images to view segments.
Best viewed in a wide browser window (1200 pixels or more).   Download SED & P(z) plots to view larger versions.
In P(z) plots: Yellow lines mark the cluster redshift z = 0.228,  

Object #6273   x,y = (4073, 1460)   RA, Dec = (06:03:05.640, 42:14:45.24) = (90.77350, 42.24590)   BPZ = 0.028 [0.019--3.577]   type = 11.00 (SB11_A_0_l)   stellarity = 0.86   chisq2 = 231.40   ODDS = 0.13   z_cluster = 0.228