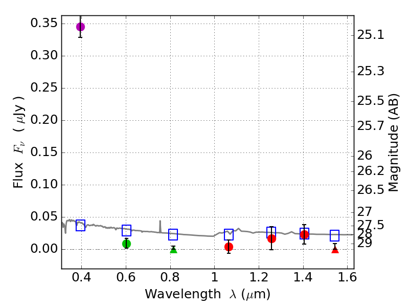
RXS0603+42-N IR detection object #6264

Color images and BPZ results
Catalog: 6264.cat
Black segments are analyzed here.   Roll mouse over color images to view segments.
Best viewed in a wide browser window (1200 pixels or more).   Download SED & P(z) plots to view larger versions.
In P(z) plots: Yellow lines mark the cluster redshift z = 0.228,  

Object #6264   x,y = (2275, 1468)   RA, Dec = (06:03:15.360, 42:14:45.60) = (90.81400, 42.24600)   BPZ = 1.697 [1.457--2.033]   type = 11.00 (SB11_A_0_l)   stellarity = 0.73   chisq2 = 87.19   ODDS = 0.65   z_cluster = 0.228