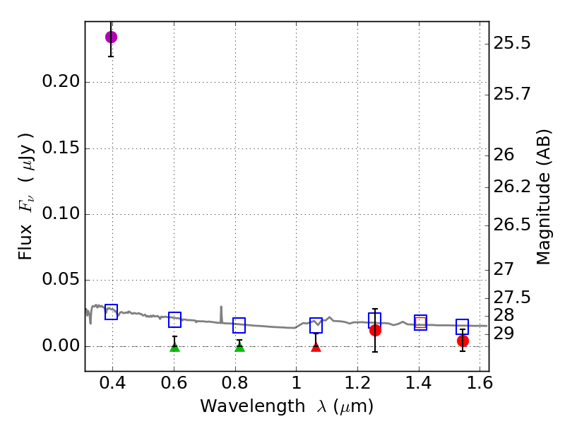
RXS0603+42-N IR detection object #6257

Color images and BPZ results
Catalog: 6257.cat
Black segments are analyzed here.   Roll mouse over color images to view segments.
Best viewed in a wide browser window (1200 pixels or more).   Download SED & P(z) plots to view larger versions.
In P(z) plots: Yellow lines mark the cluster redshift z = 0.228,  

Object #6257   x,y = (2190, 1472)   RA, Dec = (06:03:15.816, 42:14:45.96) = (90.81590, 42.24610)   BPZ = 1.696 [1.163--2.197]   type = 11.00 (SB11_A_0_l)   stellarity = 0.65   chisq2 = 70.97   ODDS = 0.48   z_cluster = 0.228