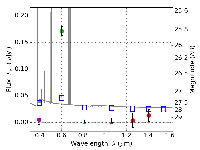
RXS0603+42-N IR detection object #6228

Color images and BPZ results
Catalog: 6228.cat
Black segments are analyzed here.   Roll mouse over color images to view segments.
Best viewed in a wide browser window (1200 pixels or more).   Download SED & P(z) plots to view larger versions.
In P(z) plots: Yellow lines mark the cluster redshift z = 0.228,  

Object #6228   x,y = (2941, 1482)   RA, Dec = (06:03:11.760, 42:14:46.68) = (90.79900, 42.24630)   BPZ = 0.020 [0.010--0.047]   type = 11.00 (SB11_A_0_l)   stellarity = 0.66   chisq2 = 78.41   ODDS = 1.00   z_cluster = 0.228