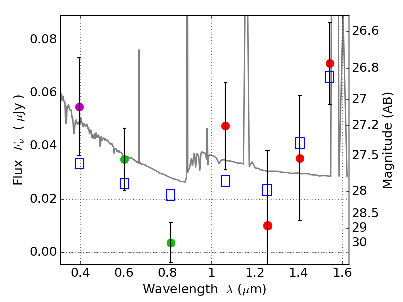
RXS0603+42-N IR detection object #6223

Color images and BPZ results
Catalog: 6223.cat
Black segments are analyzed here.   Roll mouse over color images to view segments.
Best viewed in a wide browser window (1200 pixels or more).   Download SED & P(z) plots to view larger versions.
In P(z) plots: Yellow lines mark the cluster redshift z = 0.228,  

Object #6223   x,y = (1866, 1429)   RA, Dec = (06:03:17.568, 42:14:43.44) = (90.82320, 42.24540)   BPZ = 1.386 [1.078--2.939]   type = 11.00 (SB11_A_0_l)   stellarity = 0.25   chisq2 = 1.94   ODDS = 0.24   z_cluster = 0.228