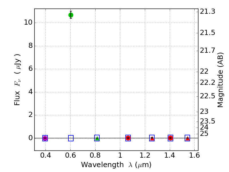
RXS0603+42-N IR detection object #6185

Color images and BPZ results
Catalog: 6185.cat
Black segments are analyzed here.   Roll mouse over color images to view segments.
Best viewed in a wide browser window (1200 pixels or more).   Download SED & P(z) plots to view larger versions.
In P(z) plots: Yellow lines mark the cluster redshift z = 0.228,  

Object #6185   x,y = (4085, 1493)   RA, Dec = (06:03:05.592, 42:14:47.40) = (90.77330, 42.24650)   BPZ = 0.462 [0.078--1.286]   type = 7.00 (Scd_B10)   stellarity = 1.00   chisq2 = 287.30   ODDS = 0.16   z_cluster = 0.228