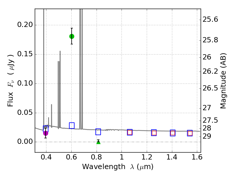
RXS0603+42-N IR detection object #612

Color images and BPZ results
Catalog: 612.cat
Black segments are analyzed here.   Roll mouse over color images to view segments.
Best viewed in a wide browser window (1200 pixels or more).   Download SED & P(z) plots to view larger versions.
In P(z) plots: Yellow lines mark the cluster redshift z = 0.228,  

Object #612   x,y = (3019, 3510)   RA, Dec = (06:03:11.352, 42:16:48.36) = (90.79730, 42.28010)   BPZ = 0.025 [0.014--2.944]   type = 11.00 (SB11_A_0_l)   stellarity = 0.54   chisq2 = 145.40   ODDS = 0.24   z_cluster = 0.228